UWAGA! Oferta nieaktualna
No items found.

Skoda Octavia

2016
r.
|
221122
km
|
1968 cm3
|
Diesel
|
Manual
Automat
59900

Szczegóły auta

Ogólne

Marka:
Škoda
Model:
octavia
Wersja:
ver-2-0-tdi-4x4-dsg-scout
Rok produkcji:
2016
Przebieg:
221122
km
VIN:
TMBLK9NE2G0229273

Napęd

Rodzaj paliwa:
Diesel
Moc:
184 KM
Pojemność skokowa:
1968 cm3
Napęd:
4x4 (stały)
Skrzynia biegów:
Automatyczna
Manualna
Spalanie w mieście:
6.1
l/100km
Spalanie w trasie:
5
l/100km

Nadwozie

Typ nadwozia:
Kombi
Kolor:
Niebieski
Liczba drzwi:
5
Liczba miejsc:
5
Dopuszczalna ładowność :
Masz jakieś pytania odnośnie auta?
Napisz do nas
Spodobał Ci się model?

Opis auta

Samochód bezwypadkowy, z pewną historią oraz udokumentowanym przebiegiem!


════════════════════════════════════════════════


Skoda Octavia Scout 2016 DSG 4x4 2.0 184km


➡️ Gwarancja bezwypadkowości oraz autentyczności przebiegu


➡️ Serwisowany w ASO | Elektroniczna historia serwisowa pojazdu


➡️ Cena brutto: 59_900zł (cena netto: 48_699zł)


➡️ Przebieg: 221_122km


➡️ VIN: TMBLK9NE2G0229273


➡️ Data pierwszej rejestracji: 21.04.2016


➡️ Pełna faktura VAT 23%, zwalniająca Cię z opłaty skarbowej PCC (2% wartości samochodu).


➡️ Dla klientów z okolicy oferujemy bezpłatną usługę rejestracji auta w imieniu klienta – zakup bez stresu i formalności, oszczędź czas, nerwy i dzień urlopu!


═══════════════════════════════════════════════


Dlaczego warto wybrać ten samochód?


29.08.2025 W samochodzie wymieniono filtry oraz olej Edge 5W30 + klocki hamulcowe koszt serwisu 7357nok!


Drugi komplet aluminiowych felg wraz z oponami gratis, gdy cena nie podlega negocjacjom!


Wersja scout z napędem 4x4 w połączeniu z automatyczną skrzynią biegów DSG, oraz najmocniejszym silnikiem 2.0 o mocy 184km!


✅ Gwarancja bezwypadkowości – możesz mieć pewność, że twój nowy pojazd nie był uczestnikiem żadnej kolizji.


✅ Gwarancja pochodzenia – pełna transparentność w historii pojazdu.


✅ Gwarancja techniczna na rok – szczegóły poniżej.


✅ Gwarancja przebiegu - udokumentowany przez Norweski Urząd Komunikacji


✅ Historia serwisowa – elektroniczna, oraz fizyczna


✅ Każdy samochód przed trafieniem do sprzedaży jest dokładnie sprawdzany pod kątem usterek mechanicznych oraz stanu lakierniczego. Na zdjęciu widoczny jest arkusz badania powłoki lakierniczej, przedstawiający jej grubość.


═══════════════════════════════════════════════


Specyfikacja:


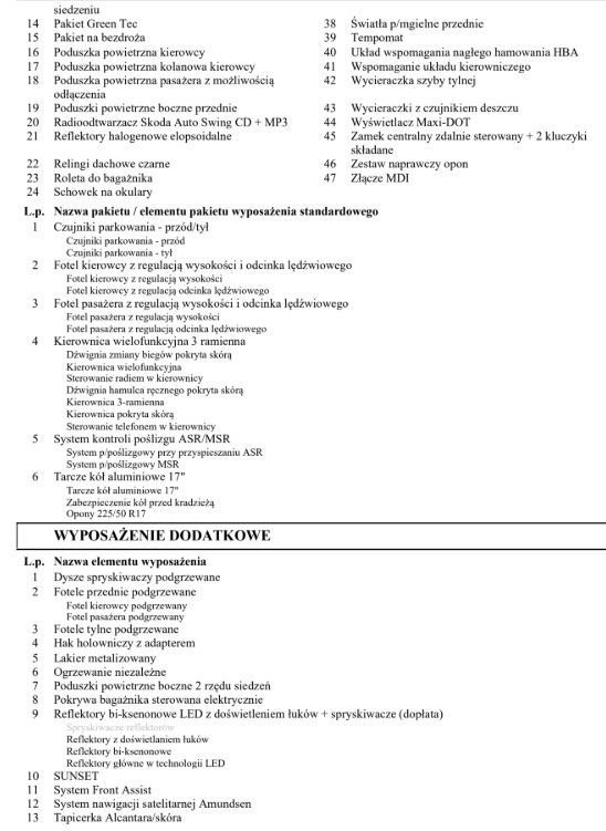
✅ silnik 2.0l o mocy 184km


✅ napęd 4x4


✅ automatyczna skrzynia biegów


✅ kamera cofania


✅ czujniki parkowania


✅ automatyczna klimatyzacja


✅ skórzana tapicerka skóra + alcantara


✅ wielofunkcyjna kierownica


✅ el. klapa bagażnika


✅ reflektory bi-xenon


✅ nawigacja


✅ doświetlanie zakrętów


✅ dodatkowe ogrzewanie webasto


✅ 18 calowe oryginalne felgi


✅ tempomat


✅podgrzewane fotele


✅ el. szyby


✅ el. lusterka


✅ bluetooth


✅ radio


═══════════════════════════════════════════════


✅ Gwarancja GetHelp GRAND w cenie samochodu


Przy zakupie bez negocjacji ceny otrzymujesz 12-miesięczną gwarancję GRAND w cenie pojazdu.


Masz aż 30 000 zł na naprawy w ciągu roku.


Dlaczego warto?

• Sam wybierasz miejsce naprawy – nawet autoryzowany serwis (ASO)

• Szybka i bezproblemowa obsługa

• Indywidualny konsultant dostępny 24/7, 365 dni w roku


Więcej szczegółów przedstawi sprzedawca podczas kontaktu lub na miejscu


═══════════════════════════════════════════════


Możliwość zakupu w leasingu lub kredycie:


✅ Co nas wyróżnia? Szybkość realizacji leasingu.


✅ Szeroki zakres możliwości kredytowania/leasingu (korzystne oprocentowanie).


✅ Możliwość kalkulacji wszelkich możliwych rozwiązań np. ilość rat, wysokość wpłaty wstępnej oraz wysokości wykupu.


════════════════════════════════════════════════


Dział sprzedaży:


☎️ 608_743_687 ☎️


☎️ 780_783_050 ☎️


☎️ 516_215_863 ☎️


════════════════════════════════════════════════


Co charakteryzuje samochody z Norwegii?


✅ Najwyższe pakiety wyposażeniowe, nie spotykane w innych krajach Europy.


✅ Regularne serwisowanie zgodnie ze wszystkimi zalecaniami producenta, wyłącznie w autoryzowanych serwisach.


✅ Bezwypadkowość oraz autentyczność przebiegów.


✅ Świetny stan techniczny oraz wizualny, sprowadzamy wyłącznie nie uszkodzone egzemplarze.


════════════════════════════════════════════════


Rezerwacje:


➡️ Nasze oferty ogląda codziennie kilka tysięcy osób, dlatego więc dajemy możliwość rezerwacji pojazdu – szczegóły pod numerem telefonu do naszych sprzedawców.


════════════════════════════════════════════════


Formy płatności:


➡️ Gotówka


➡️ Przelew bankowy


➡️ Sprzedaż ratalna (kredyt lub leasing)


➡️ Możliwość pozostawienia w rozliczeniu samochodu (tylko pewne/sprawdzone samochody)


════════════════════════════════════════════════


Jazda próbna:


➡️ Zapraszamy do odwiedzin naszego salonu i bezpłatnej jazdy testowej!


Adres: 32-650 Kęty, Tadeusza Kościuszki 138


════════════════════════════════════════════════


Każdy nasz samochód przed sprzedażą jest dokładnie ozonowany, co gwarantuję czyste i sterylne wnętrze, bez zapachów, bakterii i alergenów. Większy komfort i bezpieczeństwo dla Ciebie i Twoich bliskich. Wsiadasz i jedziesz jak nowym z salonu!


Rata przedstawiona na zdjęciu ma charakter orientacyjny. Wyliczenia dla leasingu: 20% wpłaty własnej, 10% wykupu, okres 60 miesięcy. Dla kredytu: 30% wpłaty, okres 60 miesięcy. Finansowanie oferowane przez VeloBank, warunki zależne od oceny zdolności kredytowej.


DLA UŻYTKOWNIKÓW OLX - więcej zdjęć na profilu naszej firmy na naszej stronie www.firmanord.pl


Uwaga: Niniejsze ogłoszenie jest wyłącznie informacją handlową i nie stanowi oferty w myśl art. 66, § 1 Kodeksu Cywilnego. Sprzedający nie odpowiada za ewentualne błędy lub nieaktualność ogłoszenia.

Gwarancja

Twoje bezpieczeństwo

Każdy nasz samochód jest dokładnie sprawdzony i objęty gwarancją.

Możesz również dopłacić za rozszerzony pakiet gwarancyjny dla jeszcze większego spokoju.
Wybierz jakość i bezpieczeństwo bez kompromisów.

Classic
Naprawy do 5000zł
Z nami zyskujesz spokój, tą opcję masz w cenie auta.
Kupując u nas samochód gwarancję Classic otrzymujesz gratis
Aplikacja mobilna iHelp
umożliwiająca całodobowe zgłoszenie awarii
Opieka konsultanta
błyskawiczny proces obsługi klienta
Holowanie do warsztatu
do kwoty 250 złotych brutto
Naprawy warsztatowe
zakup części i robocizna w ramach zakresu Gwarancji
Silnik (benzyna, diesel, LPG)
wewnętrzne uszkodzenia bez osprzętu
Manualna skrzynia biegów
elementy wewnętrzne, np. koła zębate, wybieraki
Pokaż zakres gwarancjiZwiń zakres gwarancji
Elite
Naprawy do 10000PLN
Opcja płatna dodatkowo.
Zakres planu Classic
Komputer główny silnika
Wał napędowy
z wielowypustem, przegubami krzyżakowymi
Układ chłodzenia
m. in. chłodnica wody, wentylator, termostat
Układ hamulcowy
bez elementów eksploatacyjnych, np klocków
Dyferencjał
tylko dla pojazdów z napędem jednoosiowym
Turbosprężarka
wraz z zaworami i nastawnikami turbiny
Koło dwumasowe
bez elementów dodatkowych, np. tarcza sprzęgła
Samochód zastępczy
na 5 dni, dostępny w 73 punktach całej Polski
Pokaż zakres gwarancjiZwiń zakres gwarancji
Premium
Naprawy do 15000zł
Opcja płatna dodatkowo.
Zakres planu Classic i Elite
Rozrusznik
bez okresowej wymiany pasków wieloklinowych
Alternator
bez okresowej wymiany pasków wieloklinowych
Automatyczna skrzynia biegów
elementy wewnętrzne, np. koła zębate
Pokaż zakres gwarancjiZwiń zakres gwarancji
Rozwiń dokładne porównanieZwiń dokładne porównanie

* Gwarancje dostępne dla aut: osobowych w wieku do 20 lat, przebiegu do 350 000km i pojemności silnika do 2999 cm3.
Cena gwarancji jest wliczona w cenę samochodu. W przypadku negocjacji ceny, warunki gwarancji mogą ulec zmianie.

Gwarancja

Twoje bezpieczeństwo

Każdy nasz samochód jest dokładnie sprawdzony i objęty gwarancją.

Możesz również dopłacić za rozszerzony pakiet gwarancyjny dla jeszcze większego spokoju.
Wybierz jakość i bezpieczeństwo bez kompromisów.

Classic
Naprawy do 5000zł
Z nami zyskujesz spokój, tą opcję masz w cenie auta
Kupując u nas samochód gwarancję Classic otrzymujesz gratis.
Aplikacja mobilna
iHelp
umożliwiająca całodobowe zgłoszenie awarii
Proces obsługi
Easy Way
błyskawiczny proces obsługi klienta
Holowanie
do warsztatu
do kwoty 250 złotych brutto
Silnik (benzyna,
diesel, LPG)
wewnętrzne uszkodzenia bez osprzętu
Manualna skrzynia
biegów
elementy wewnętrzne, np. koła zębate, wybieraki
Obudowa silnika
i skrzyni biegów
awarie wskutek uszkodzeń objętych Gwarancją
Pokaż zakres gwarancjiZwiń zakres gwarancji
Optimum
Naprawy do 20000PLN
Opcja płatna dodatkowo.
Zakres planu Classic
Zawieszenie silnika
i skrzyni biegów
poduszki silnika i skrzyni biegów
Instalacja LPG/CNG
mikser, elektrozawór gazu, reduktor, wielozawór
Rozrusznik
i alternator
wirnik, satelity, automat, koła zębate, obudowa
Układ chłodzenia
m. in. chłodnica wody, wentylator, termostat
Układ hamulcowy
bez elementów eksploatacyjnych, np klocków
Układ napędowy
wał napędowy, dyferencjał dla napędu na 1 oś
Układ zapłonowy
świece, aparat i cewki zapłonowe, stacyjka
Układ kierowniczy
wspomaganie, przekładnia i kolumna kierownicza
Układ przeniesienia
napędu
półoś z piastą koła, przegubem, łożyskiem i mostem
Układ smarowania
m.in. pompa oleju
Układ dolotowy
przepustnica, kolektor oraz przepływomierz
Układ paliwowy
pompy rotacyjne, wirnikowe, elektryczne oraz zbiorniki
Układ hybrydowy
agregat elektryczny, silnik elektryczny
Pokaż zakres gwarancjiZwiń zakres gwarancji
Grand
Naprawy do 30000zł
Opcja płatna dodatkowo.
Zakres planu
Classic i Optimum
Układ doładowania
turbosprężarka, sprężarka, intercooler
Układ wtryskowy
listwa wtryskowa, wtryskiwacze
Układ
oczyszczania spalin
filtr DPF, zawór EGR, AdBlue
Układ ogrzewania
i klimatyzacji
nagrzewnica, kierownica powietrza
Samochód zastępczy
wydawany na czas na prawy na okres 5 dni
Pokaż zakres gwarancjiZwiń zakres gwarancji
Rozwiń dokładne porównanieZwiń dokładne porównanie

* Gwarancje dostępne dla aut: osobowych w wieku do 20 lat, przebiegu do 350 000km i pojemności silnika do 2999 cm3.
Cena gwarancji jest wliczona w cenę samochodu. W przypadku negocjacji ceny, warunki gwarancji mogą ulec zmianie.